Noise
material -> texture 베이크 하기
- Mat
- shading model : unlit
- input = float3 ( uv coord, 0 )
- BP
- Draw Material to Render Target
- Render Target Create Static Texture Editor Only
| 펄린 | 보로노이 | 클라우드 | 마블 | 마블(distortion) | |
| scale | 8 | 4 | 8 | 8 | 4 |
| quality | 4 | 4 | 4 | ||
| function | gradient | voronoi | voronoi | voronoi | gradient |
| turbulence | x | x | x | x | x |
| level | 5 | 1 | 3 | 2 | 6 |
| min/max output | 0 ~ 1 | ||||
| level scale | 2 | 2 | 2 | 2 | 2 |
| tiling | o | o | o | o | o |
| repeat size | 8 | 4 | 8 | 8 | 4 |
| additional | one minus, squared | ||||
Slerp
- LocationA * ( sin(theta*alpha) / sin(theta) ) + LocationB * ( sin(theta*(1-alpha) / sin(theta) )

Ease pattern
- Quad
- Sine
- Cubic
- Quart
- Quint
- Expo
- Logic
- Bounce
- Back
- Elastic
Elo Rating
- 레이팅 컨트롤에 편한 형태로 param이 빠진 로지스틱함수
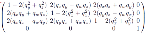
Quaternion
쿼터니안
ijk = -1;
ij = k, ji = -k;
xi + yj + zk + w = (x, y, z, w) = (v, w)
p = (px, py, pz, pw) ( = pxi + pyj + pzk + pw )
q = (qx, qy, qz, qw)
pq =
(pxqw + pyqz - pzqy + pwqx)i
+ (-pxqz + pyqw + pzqx + pwqy)j
+ (pxqy - pyqx + pzqw + pwqz)k
+ (-pxqx - pyqy - pzqz + pwqw)
(pq)* = q*p* ( 켤레복소수 )
||magnitude|| = x^2 + y^2 + z^2 + w^2
p ( 기존 rot vector )
theta ( 기준축 u에 대한 회전각 )
u ( 회전기준축의 단위벡터 )
q = (sin ( u*theta/2 ), cos ( theta/2 ) )
회전 후 벡터 = qpq*
quaternion 2 matrix ( 변환을 위해 )









